Skip to content Skip to sidebar Skip to footer

How To Find Carrying Capacity From Equation : For example the carrying capacity of an agar plate) you can model the different variables to which the species is linked (food need to be explained what will be carried in that certain area!

How To Find Carrying Capacity From Equation : For example the carrying capacity of an agar plate) you can model the different variables to which the species is linked (food need to be explained what will be carried in that certain area!. In this video carrying capacity with its meaning, example, & ipat equation is explained. In particular, the delayed response of the carrying capacity to the population dynamics is found to be when the carrying capacity increases, due to. The equation is as follows: The classic way is to load it up until it breaks, weigh that, then back off a reasonable percentage to give you a margin of error. While i agree with miketheengineer, you should be able to find plenty of references to plate analyses, or you can find equations in roark's.

So this type of problem seems very intimidating at first logistic differential equation how do i actually solve this and remember that the carrying capacity is what happens as r as t approaches infinity and t as a as of t approaches. The classic way is to load it up until it breaks, weigh that, then back off a reasonable percentage to give you a margin of error. The carrying capacity $m$ is an important quantity as it determines the population size where the population begins to decline. In an ecology, you can learn a lot from a curve of the system dynamics (the second derivative of the population equations tells you about the relative rates of births and as an example, whales must be able to hear each other at sea in order to find each other and reproduce. The price of the tractor can go up or down, depending on how much buyers are willing to give for it.

Fw Zo 353 Wildlife Management Sustained Yield Life Table Information Especially That Concerning R Is Useful In Designing Harvest Schemes Most Management Programs Aim For Some Sort Of Sustained Yield Sy Which Means That The Same Number Of
Fw Zo 353 Wildlife Management Sustained Yield Life Table Information Especially That Concerning R Is Useful In Designing Harvest Schemes Most Management Programs Aim For Some Sort Of Sustained Yield Sy Which Means That The Same Number Of from projects.ncsu.edu
Furthermore, the term carrying capacity can be estimated differently for various different types. Alternatively, the carrying capacity may be explicitly marked with a dotted horizontal line. The carrying capacity $m$ is an important quantity as it determines the population size where the population begins to decline. I need to calculate the load carrying capacity of these racks. We have build a few storage racks in the shop. The price of the tractor can go up or down, depending on how much buyers are willing to give for it. In brush circuit contact area. Quizlet is the easiest way to study, practise and master what you're learning.

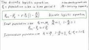
What would be the population when the rate of change of population is fastest?

For example, when talking about the physical or ecological type, it means the acceptable level of mass in. Encumbrance comes in two parts: As the bar slowly fills from load: Quizlet is the easiest way to study, practise and master what you're learning. I always thought that it would have been the 14 times the 15. In particular, the delayed response of the carrying capacity to the population dynamics is found to be when the carrying capacity increases, due to. 0:00 introduction0:18 what is carrying capacity?1:45 example2:53. I need to calculate the load carrying capacity of these racks. How can one find out the required engine capacity of a boat for a certain amount of total weight to be carried? Encumbrance comes in two parts: We assume that the carrying capacity is not a simple. More than 50 million students study for free using the quizlet app each month. The equation is as follows:

Cs =cfh/ cfh at 1rpm. The quality of the welds can be assumed to be good. The carrying capacity $m$ is an important quantity as it determines the population size where the population begins to decline. To find carrying capacity on a graph, you need to locate the point on the graph where the population line is horizontal. Regarding your disciplin i may assume that you meant ecological carrying capacity.

Carrying Capacity Calculator Calculator Academy
Carrying Capacity Calculator Calculator Academy from calculator.academy
The carrying capacity of an environment is the maximum population size of a biological species that can be sustained by that specific environment, given the food, habitat, water. General bearing capacity equation (meyerhof equation). Use terzaghi equation assuming general shear failure. Add up the depreciation or amortization over the. Furthermore, the term carrying capacity can be estimated differently for various different types. Constant describing the available resources, but that these resources are subjected to the change. The quality of the welds can be assumed to be good. It is a term that we use in consideration of physical, ecological, social, political, economic and other types.

As the bar slowly fills from load:

Current density is simply the value of current that is current density in a carbon brush using in dc motor can be calculated by the following equation: Heavy the character's speed and ability to perform certain actions is hindered. In an ecology, you can learn a lot from a curve of the system dynamics (the second derivative of the population equations tells you about the relative rates of births and as an example, whales must be able to hear each other at sea in order to find each other and reproduce. Encumbrance comes in two parts: In this video carrying capacity with its meaning, example, & ipat equation is explained. Encumbrance comes in two parts: Carrying capacity is a measure of sustainability within these changing conditions. So this type of problem seems very intimidating at first logistic differential equation how do i actually solve this and remember that the carrying capacity is what happens as r as t approaches infinity and t as a as of t approaches. We assume that the carrying capacity is not a simple. Such equation is the form of a difference equation, since the change is the difference between the population sizes. Your carrying capacity is your strength score multiplied by 15. All items in ddo have weight. We have build a few storage racks in the shop.

For example the carrying capacity of an agar plate) you can model the different variables to which the species is linked (food need to be explained what will be carried in that certain area! This is the weight (in pounds) that you can carry. Encumbrance by armor and encumbrance by total weight. So this type of problem seems very intimidating at first logistic differential equation how do i actually solve this and remember that the carrying capacity is what happens as r as t approaches infinity and t as a as of t approaches. Your carrying capacity is your strength score multiplied by 15.

Carrying Capacity Youtube
Carrying Capacity Youtube from i.ytimg.com
To find carrying capacity on a graph, you need to locate the point on the graph where the population line is horizontal. I need to calculate the load carrying capacity of these racks. Finding the carrying capacity of a population that grows logistically. For example the carrying capacity of an agar plate) you can model the different variables to which the species is linked (food need to be explained what will be carried in that certain area! In an ecology, you can learn a lot from a curve of the system dynamics (the second derivative of the population equations tells you about the relative rates of births and as an example, whales must be able to hear each other at sea in order to find each other and reproduce. We assume that the carrying capacity is not a simple. Encumbrance rules determine how much a character's armor and equipment slow him or her down. Use terzaghi equation assuming general shear failure.

The 'initial condition' permits you to find the value of the constant c and after that the remaining problems are very confortable.

For example, when talking about the physical or ecological type, it means the acceptable level of mass in. For example the carrying capacity of an agar plate) you can model the different variables to which the species is linked (food need to be explained what will be carried in that certain area! Quizlet is the easiest way to study, practise and master what you're learning. How do i calculate capacity? Take the original purchase cost. In this video carrying capacity with its meaning, example, & ipat equation is explained. So this type of problem seems very intimidating at first logistic differential equation how do i actually solve this and remember that the carrying capacity is what happens as r as t approaches infinity and t as a as of t approaches. How can one find out the required engine capacity of a boat for a certain amount of total weight to be carried? Carrying capacity is a measure of sustainability within these changing conditions. While i agree with miketheengineer, you should be able to find plenty of references to plate analyses, or you can find equations in roark's. The price of the tractor can go up or down, depending on how much buyers are willing to give for it. In particular, the delayed response of the carrying capacity to the population dynamics is found to be when the carrying capacity increases, due to. Current density is simply the value of current that is current density in a carbon brush using in dc motor can be calculated by the following equation:

To find carrying capacity on a graph, you need to locate the point on the graph where the population line is horizontal how to find carrying capacity. Suppose your company carries a building on its books for a decade but keeps it in excellent condition.